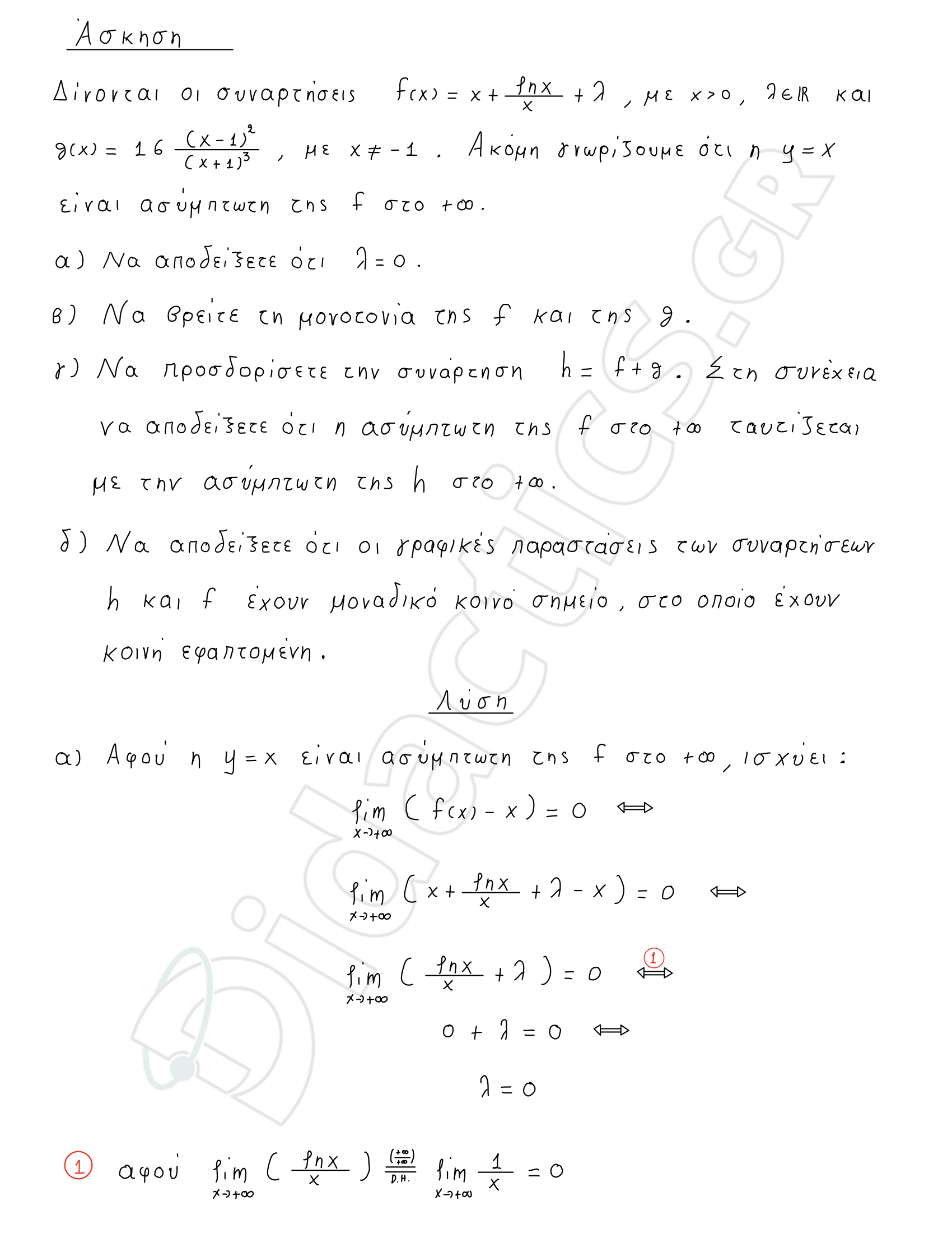
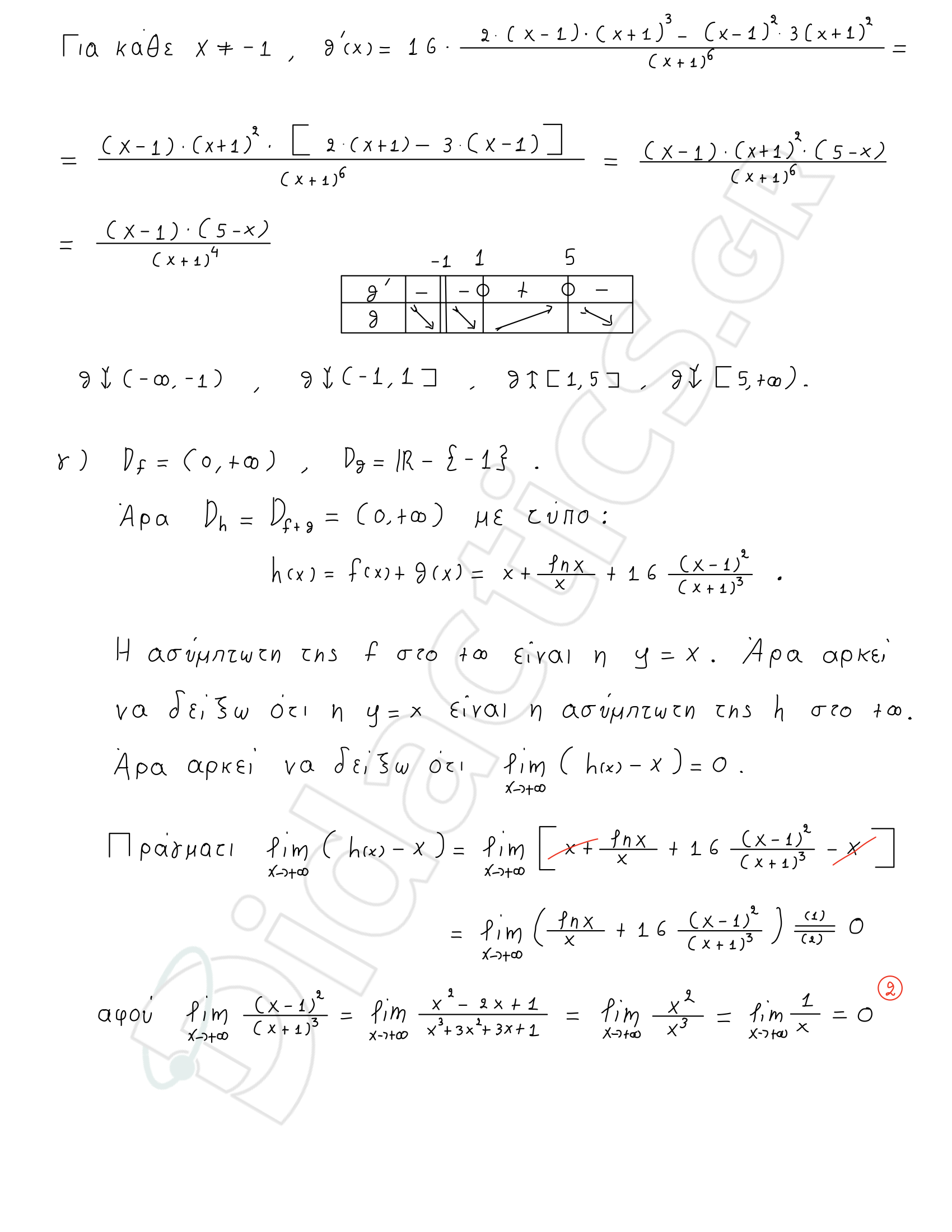
Επαναληπτική Άσκηση 1 - Μαθηματικά Γ Λυκείου
Jan 29, 2026



Για να ενημερώνεσαι για νέα τα άρθρα, σεμινάρια και μαθήματα του Didactics
κάνε εγγραφή στην λίστα ενημερώσεων συμπληρώνοντας την παρακάτω φόρμα




κάνε εγγραφή στην λίστα ενημερώσεων συμπληρώνοντας την παρακάτω φόρμα
Για να μην χάνεται δημοσιεύσεις και να ενημερώνεστε για τα νέα και τις υπηρεσίες του Didactics συμπληρώστε την παρακάτω φόρμα